Jumpa lagi gaes…..
Saya harap Kalian semua sudah memahami konsep dasar regresi melalui tulisan saya di pengantar regresi sederhana atau di konsep dasar regresi. Pada tulisan saya kali ini akan dibahas dasar-dasar regresi berganda (multiple regression).
Beda regresi berganda dengan regresi sederhana hanya terletak pada jumlah variabelnya saja. Jika regresi sederhana hanya ada satu variabel bebas dan satu variabel terikat, maka regresi berganda terdiri dari dua atau lebih variabel bebas dan satu variabel terikat.
Misalnya pada suatu kesempatan saya dimintai bantuan oleh seorang manajer ritel untuk menganalisa tentang variabel mana yang paling menentukan besaran penjualan motor di toko-tokonya. Berikut adalah adalah data penjualan sepeda motor di setiap toko beserta data jumlah sales dan biaya iklan yang dikeluarkan.

Langsung saja ya gaes….. kita selesaikan menggunakan pendekatan regresi berganda menggunakan rumus OLS. Masih ingat kan gaes OLS itu kependekan dari apa? Ya… Ordinary Least Square.
Okay Gaes…… kita tulis dulu persamaannya, yaitu :
Y = a + b1 X1 + b2 X2 + e
atau
Y’ = a + b1 X1 + b2 X2
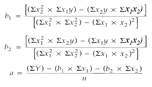
Untuk mencari nilai a, b1, dan b2 kita pakai rumus OLS di bawah ini Gaes….

Nah… Kalian bisa langsung hitung secara manual ya Gaes….
Tapi saya capek kalau nulis satu per satu di sini. Maaf ya Gaes… contoh hitung manualnya bisa dilihat di SINI.
Kali ini kita langsung saja pakai “Analysis Tool” yang sudah disediakan Excel. Langsung saja kita mulai……
- Pertama, kita siapkan data seperti pada Tabel 1. di atas. Kemudian buka “Analysis Tool” melalui menu “DATA” kemudian pilih “Data Analysis”.

- Pilih “Regression” pada “Data Analysis”

- Input range data Y, kemudian X1 dan X2 dan jangan lupa centang “Labels” seperti pada gambar berikut

- Kali ini output regresi akan saya letakkan di Sheet yang berbeda, maka saya pilih “New Worksheet Ply”. Jangan lupa pilih juga output residual yang kita inginkan.

- Setelah kita klik “OK” maka seketika itu juga akan terbentuk Sheet baru berisi output regresi kita.

- Kita sudah mendapatkan nilai konstanta/intercept dan koefisien regresi tiap-tiap variabel X

Jadi Gaes…. kita sudah bisa memasukkan nilai konstanta dan koefisien regresi pada bersamaan berikut:
Y = a + b1 X1 + b2 X2 + e
menjadi
Y = 16,77 + 9,72 X1 + 7,50 X2 + e
atau
Y’ = 16,77 + 9,72 X1 + 7,50 X2
Nah, sekarang apa maksud dari konstanta dan koefisien-koefisien ini Gaes?…. Sebelum membahas konstanta dan koefisien, ada baiknya kita bahas sedikit dari output berikut ini.

Pada output di atas nila R Square (R2) adalah sebesar 0,78 ini bisa diartikan bahwa variabel Tenaga Sales (X1) dan Biaya Iklan (X2) menentukan besaran penjualan motor sebesar 78%, sedangkan 22% lainnya ditentukan oleh variabel lain di luar model (variabel-variabel lain selain X1 dan X2).
Konstanta atau intercept sebesar 16,77 ini artinya jika X1 dan X2 bernilai 0 (nol) atau perusahaan tidak menggunakan tenaga Sales dan juga tidak mengeluarkan Biaya iklan maka Y (penjualan rata-rata per bulan) sebanyak 16,77 unit motor dengan asumsi variabel diluar X1 dan X2 konstan atau tidak berubah (citeris paribus).
atau
Jika X1 dan X2 bernilai 0 (nol) maka estimasi penjualan (Y’) sebanyak 16,77.
Sedangkan, koefisien b1 sebesar 9,72 menunjukkan bahwa setiap penambahan 1 (satu) orang Sales (X1) maka akan memberikan kontribusi peningkatan jumlah penjualan rata-rata tiap bulan sebanyak 9,72 unit, dengan asumsi bahwa biaya iklan (X2) tetap/konstan serta variabel lain selain dalam model juga konstan (citeris paribus).
Koefisien b2 sebesar 7,50 menunjukkan bahwa setiap penambahan Rp. 1.000.000,- biaya iklan (X2) maka akan memberikan kontribusi peningkatan jumlah penjualan rata-rata tiap bulan sebanyak 7,5 unit, dengan asumsi bahwa jumlah Sales (X1) tetap/konstan, serta variabel lain selain dalam model juga konstan (citeris paribus).
Sampai di sini dulu saja ya Gaes…. selanjutnya akan kita bahas tentang signifikansi kontribusi variabel-variabel tersebut di artikel berikutnya. Selamat belajar ya Gaes…. semoga diberi kemudahan oleh Tuhan untuk mencapai cita-cita ……
Cara masukin x1 dan x2 nya gimana ya? Soalnya disini cuma ada bacaan x doang
SukaSuka
Untuk X1, X2, X3, dst tetap dimasukkan di range X asalkan letak data tetap berdampingan tanpa ada jeda kolom, seperti contoh di atas
SukaSuka
Sebenarnya apa bedanya regresi berganda antara menggunakan excell dengan SPSS.. kayaknya sederhana,mudah dan familiar excell…sy blm pernah pakai SPSS karena utk dapat software dan installnya susah…klu ada yg gampang knp pakai yg susah
SukaSuka
Pada tingkat lanjut banyak fitur yang tidak disediakan oleh Excel. Seperti berbagai uji asumsi klasik, regresi Panel, logit, dll. Untuk software sila baca tulisan saya tentang gretl
SukaSuka