Korelasi Pearson atau sering disebut Korelasi Product Moment (KPM) merupakan alat uji statistik yang digunakan untuk menguji hipotesis asosiatif (uji hubungan) dua variabel bila datanya berskala interval atau rasio. KPM dikembangkan oleh Karl Pearson. Untuk perhitungan koefisien korelasi Pearson ada beberapa asumsi yang harus dipenuhi, yaitu:
- Kedua variabel bersifat kuantitatif, yaitu interval atau rasio.
- Sampel diambil dengan teknik random (acak).
- Data yang akan diuji harus homogen.
- Data yang akan diuji juga harus berdistribusi normal.
- Perlu ada hubungan monoton antara kedua variabel (banyak orang mengatakan bersifat linier). Hubungan monotonik terjadi ketika salah satu variabel meningkat atau menurun nilainya bersama atau ketika nilai variabel lainnya meningkat atau menurun (tetapi sifat hubungan tidak boleh bervariasi). Penjelasan lebih lanjut tentang hubungan ini kita akan dibahas melalui scattergram di bawah ini.

Gambar di atas menyiratkan bahwa, dalam fungsi monotonik, tidak seperti hubungan linear, laju perubahan Y berubah untuk perubahan tertentu dalam X tetapi, sifat hubungan Y sehubungan dengan X harus sama di seluruh kurva. Misalnya, bentuk kurva pada gambar di atas, bentuk fungsi permintaan (Panel A) dan fungsi penawaran (Panel B) mewakili fungsi monotonik. Dalam fungsi non-monotonik, sifat hubungan itu sendiri berubah sepanjang rentang kurva (Panel C). Misalnya, bentuk kurva Biaya Total Rata-Rata Jangka Pendek (SRATC) dan kurva TPP dari Law of Diminishing Returns menggambarkan fungsi non-monotonik. Jadi, secara singkat dapat diringkas sebagai berikut:
- Penurunan secara monoton: ketika variabel X meningkat, variabel Y akan selalu menurun;
- Meningkat secara monoton: ketika variabel X meningkat, variabel Y juga ikut selalu meningkat;
- Fungsi non-monotonik berarti: ketika variabel X meningkat, variabel Y kadang menurun dan terkadang meningkat.
Menghitung Korelasi Product Moment
Langkah – langkah menghitung KPM adalah sebagai berikut :
- Merumuskan hipotesis (H1 dan H0)
- Menentukan taraf signifikansi (α = 0,05)
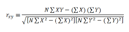
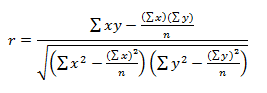
- Menghitung KPM dengan rumus. Ada beberapa rumus KPM, yaitu :

Atau

Melakukan uji signifikansi
Untuk menguji signifikansi KPM, selain menggunakan tabel r, juga dapat menggunakan uji t, dengan rumus :

atau

yang nantinya akan kita bandingkan dengan nilai t tabel dengan dk = n -2
Kriteria kesimpulannya untuk uji satu sisi adalah dengan ketentuan sebagai berikut:
– Bila t hitung > t tabel, maka rxy adalah signifikan
– Bila t hitung < t tabel, maka rxy adalah tidak signifikan
Sedangkan kriteria kesimpulan untuk uji dua sisi adalah sebagai berikut:
– Bila -t tabel > -t hitung atau t tabel < t hitung maka rxy adalah signifikan
– Bila t hitung ada di antara -t tabel dan t tabel, maka rxy adalah tidak signifikan
Contoh penghitungan korelasi menggunakan Excel
Kita bisa melakukan penghitungan korelasi secara cepat menggunakan Excel dengan langkah-langkah sebagai berikut:
- Buka file data Anda lalu pilih menu “Data”.

- Pilih “Data Analysis”.

- Pilih menu “Correlation” lalu klik “OK”.

- Klik kotak isian “Input Range” lalu pilih seluruh data variabel yang ingin dihitung korelasinya. Jangan lupa centang “Label in First Row” bila nama variabel ikut diseleksi. Akhiri dengan klik “OK”.

- Hasilnya akan muncul di Sheet baru seperti ini.

- Jadi, besaran Korelasi Product Moment (KPM) Karl Pearson antara variabel IQ dan Jam Belajar adalah 0,25473 atau bisa dikatakan cukup kuat.
Mengetahui Signifikansi Koefisien Korelasi
Sayangnya output analisis korelasi di Excel tidak desertakan nilai t hitung. Penghitungan t hitung ini harus kita lakukan secara manual. Namun bila tidak ingin ribet Anda bisa menggunakan aplikasi online statcal di Link INI. Di kalkulator online tersebut Anda tinggal memasukkan nilai koefisien korelasi dan jumlah sampel Anda.

Dari perhitungan tersebut diketahui nilai t hitung sebesar 2,6. Dari nilai ini Anda bisa menentukan uji signifikansi dengan prosedur yang hampir sama dengan prosedur uji t biasa. Contoh prosedurnya dapat Anda lihat Di SINI.
Anda juga bisa menggunakan nilai p-value sebagai dasar uji signifikansi. Penghitungan p-value dengan kalkulator online bisa Anda lakukan Di SINI. Anda tinggal mengisi nilai koefisien korelasi dan jumlah sampel. Berikut ini adalah contohnya:

Dengan demikian dapat disimpulkan bahwa ada hubungan signifikan antara variabel IQ dan Jam Belajar. Hasil ini juga sudah saya cek ulang menggunakan aplikasi Gretl dengan hasil yang sama persis. Birukut ini adalah output teks dari Gretl.
- corr(IQ, JamBelajar) = 0.25473822
- Under the null hypothesis of no correlation:
- t(98) = 2.60781, with two-tailed p-value 0.0105
Demikianlah ulasan singkat tentang Korelasi Product Moment (KPM) Karl Pearson semoga bermanfaat.
2 comments