Dalam menghadapai masalah-masalah di dunia nyata tak terkecuali di bidang pendidikan, kita lebih sering berhadapan dengan berbagai jenis data dari pada hanya data interval atau rasio. Seperti halnya bidang ilmu sosial lainnya, bidang pendidikan maupun ekonomi juga sangat terkait dengan data-data dengan skala pengukuran nominal dan ordinal (kualitatif). Analisis korelasi yang telah kita bahas kemarin masih terkait dengan data minimal interval (kuantitatif) dan berdistribusi normal saja. Kali ini kita akan membahas analisis korelasi pada berbagai jenis data menurut skala pengukurannya.
Korelasi Rank Spearman
Analisis korelasi Rank Spearman ini digagas oleh seorang psikolog Inggris yang juga ahli statistik bernama Charles Edward Spearman pada tahun 1904. Ia juga merupakan pengagas analisis faktor. Konsep dasar dari korelasi Rank Spearman sebenarnya adalah tidak berdasarkan pada hubungan sebenarnya pada variabilitas data, melainkan berdasarkan ranking atau peringkatnya. Jadi data yang sebenarnya diolah dulu berdasarkan urutan rankingnya pada masing-masing variabel kemudian dilihat pola keterkaitan antar perubahan rankingnya, sehingga analisis ini lebih cocok untuk data ordinal dan tidak tepat digunakan untuk data nominal.
Hubungan antar peringkat tersebut di atas akhirnya dinamakan rank correlation coefficient atau biasa disebut dengan korelasi Spearman. Dalam statistik, analisis korelasi ini termasuk dalam analisis statistik non-parametrik, sehingga tidak menuntut prasyarat normalitas data.
Persamaan yang digunakan dalam korelasi Spearman ini adalah sebagai berikut:

Keterangan :
di = perbedaan setiap pasang rank
n = jumlah pasangan rank
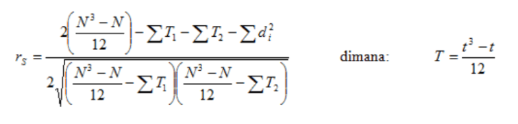
Persamaan di atas digunakan ketika pengamatan atau orservasinya tidak menghasilkan nilai pengamatan yang sama. Jika ada nilai yang sama maka persamaan statistiknya menjadi sebagai berikut:

Keterangan:
t = jumlah observasi yang sama
T = faktor korelasi
Korelasi Tau Kendall
Korelasi Tau Kendall ini diinisiasi oleh ahli statistik dari Britania Raya bernama Sir Maurice George Kendall. Dalam statistik, koefisien korelasi peringkat Kendall, biasanya disebut sebagai koefisien τ Kendall (setelah huruf Yunani τ, tau), adalah statistik yang digunakan untuk mengukur hubungan ordinal antara dua kuantitas yang diukur. Tes τ adalah tes hipotesis non-parametrik untuk ketergantungan statistik berdasarkan pada koefisien τ.
Konsep korelasi tau Kendall ini hampir sama dengan korelasi Spearman, yaitu menggunakan asosiasi ranking. Hanya saja pada tau Kendall dibedakan dalam ranking kelas atas dan kelas bawah. Juga sama seperti korelasi Spearman, analisis korelasi ini sangat cocok untuk data ordinal dan termasuk dalam kelompok statistik non-parametrik. Berikut ini adalah persamaan yang digunakan dalam mengukur koefisien Tau.

Keterangan:
T = Koefisien korelasi Tau Kendall
ΣRA = jumlah ranking kelas atas
ΣRB = jumlah ranking kelas bawah
N = banyaknya data / observasi
Korelasi Jaspen
Koefisien korelasi Jaspen’s atau biasa dilambangkan dengan “M”, digunakan untuk menguji ada atau tidaknya hubungan antara variabel ordinal dengan variabel interval atau rasio. Untuk mendapatkan koefisien korelasi Jaspen dilakukan dengan merubah nilai koefisien nilai korelasi Pearson (r) dengan persamaan sebagai berikut:

Dengan demikian koefisien ini sangat cocok bila digunakan untuk menguji hubungan antara satu variabel dengan skala ordinal dengan variabel lain dengan minimal berskala interval.
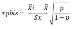
Korelasi Point Biserial
Sekarang saatnya untuk membahas tentang hubungan variabel dengan skala nominal. Salah satu uji hubungan ini adalah analisis korelasi Point Biserial. Korelasi ini digunakan untuk menguji hubungan satu variabel dengan skala pengukuran nominal dikotomi dengan dengan satu variabel dengan minimal berskala interval. Rumus persamaan korelasi point biserial adalah sebagai berikut:

Contoh penghitungan korelasi ini akan disampaikan pada artikel yang lain.
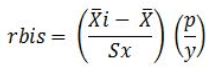
Korelasi Biserial
Sedikit berbeda dengan korelasi point biserial, korelasi biserial ini digunakan untuk menguji hubungan korelasi antara satu variabel ordinal dikotomi dengan satu variabel minimal berskala interval. Jadi perbedannya adalah skala pengukurannya walaupun sama-sama dikotomi atau hanya dua kategori. Korelasi poin biserial untuk data nominal dan korelasi biserial untuk data ordinal, namun keduanya dikotomi. Rumus korelasi ini adalah sebagai berikut:

Dimana S adalah standar deviasi, p adalah proporsi dikotomi, dan y adalah ordinat pada kurva normal ntuk nilai p.
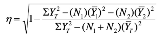
Korelasi Eta
Korelasi Eta digunakan untuk mengetahui tingkat hubungan antara satu variabel dengan skala pengukuran nominal dikotomi atau polikotomi dengan variabel lain yang berskala minimal interval. Korelasi Eta ini didapat dari persamaan sebagai berikut:

Derajat Asosiasi Theta
Nah, bila variabel yang ingin kita ketahui keeratan hubungannya adalah varabel kualitatif atau keduanya adalah variabel nominal dan ordinal, maka yang kita gunakan adalah nilai derajat asosiasi theta. Pengukuran asosiasi ini disusun dalam sebuah tabel kontigensi. Persamaan pengukuran asosiasi theta ini adalah sebagai berikut:

Lalu bagaimana bila keduanya adalah variabel nominal?. Maka yang cocok adalah derajat asosiasi Cramer.
Derajat Asosiasi Cramer
Bila kedua variabel yang ingin kita lihat tingkat keeratan hubungannya, maka penghitungan derajat asosiasi Cramer ini yang kita butuhkan. Berikut ini adalah formula penghitungannya:

Sebenarnya masih banyak lagi metode penghitungan asosiasi atau korelasi yang lain, namun saya kita beberapa pilihan ini sudah cukup untuk kebutuhan analisis kita. Jangan lupa sesuaikan alat analisis dengan karakteristik masalah yang kita hadapi terutama terkait dengan jenis-jenis data. Contoh aplikasi dari metode-metode ini akan saya tunjukkan pada artikel-artikel selanjutnya. Sampai berjumpa lagi.
Kalau saya mau membandingkan 2 variabel data ordinal yang mempuynai kategori lebih dari 2 uji korelasi apa yang harus saya gunakan?
SukaSuka