Kesalahan Standar Estimasi adalah standar deviasi di sekitar garis estimasi regresi yang mengukur variabilitas nilai Y aktual dari Y prediksi, disimbolkan dengan SYX. Meskipun metode kuadrat-terkecil (OLS) menghasilkan garis estimasi dengan jumlah variasi minimum (kecuali jika koefisien determinasi r2 = 1) persamaan regresi bukanlah prediktor yang sempurna.

Variabilitas di sekitar garis regresi ditunjukkan pada gambar di atas, yang menyajikan scatter plot dan garis regresi untuk data penjualan motor. Kita dapat melihat dari gambar itu bahwa beberapa nilai berada di atas garis regresi dan nilai lainnya berada di bawah garis regresi. Pada contoh tersebut, kesalahan standar estimasi (Standard Error) sama dengan 0,158 unit, seperti output Excel di bawah ini.

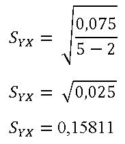
Bila kita hitung secara manual kita bisa menggunakan rumus:

Bila kita hitung menggunakan rumus tersebut, seperti ini

Hasilnya sama dengan penghitungan yang dilakukan komputer kan…..
Sama seperti standar deviasi mengukur variabilitas di sekitar rata-rata, kesalahan standar estimasi mengukur variabilitas di sekitar garis estimasi. Kesalahan standar estimasi akan sangat penting untuk menentukan apakah ada hubungan signifikan secara statistik antara variabel X dan Y atau uji t.
4 comments