Kita dapat menentukan adanya hubungan yang signifikan antara variabel X dan Y dengan menguji apakah koefisien regresi (slope populasi) sama dengan 0. Jika hipotesis ini ditolak, kita bisa menyimpulkan bahwa ada bukti hubungan linear. Hipotesis nol dan hipotesis alternatif dari uji ini adalah sebagai berikut:
H0: b1 = 0 (tidak ada hubungan linier antara X dan Y)
H1: b1 ≠ 0 (ada hubungan linier antara X dan Y)
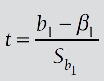
Nilai uji statistik mengikuti distribusi t dengan derajat kebebasan (degree of freedom) sama dengan ukuran sampel (n) minus k (banyaknya variabel bebas dan terikat). Nilai t statistik sama dengan slope sampel dibagi dengan slope kesalahan standar:
t = slope sampel / slope kesalahan standar
atau dengan rumus sebagai berikut:

Sb1 (standard error of the slope) dihitung menggunakan rumus

SYX (Standard Error of the Estimate) diperoleh menggunakan rumus

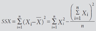
Sedangkan SSX (sum square of X) dihitung melalui rumus di bawah ini

Kita akan menggunakan data yang sama dengan tulisan-tulisan yang telah lalu untuk contoh uji t ini.

Kita mulai dengan menghitung nilai SSX, dimana pada tabel di atas sudah diketahui nilai yaitu 10 jadi SSX diketahui sebesar 10.

nilai yaitu 10 jadi SSX diketahui sebesar 10.
Setelah diketahui nilai SSX kita lanjutkan mencari nilai Syx

Berdasarkan output regresi ini kita bisa melihat nilai Syx sebesar 0,15811388. Bila ingin penjelasan lebih lanjut silahkan kunjungi link ini.
Selanjutnya kita bisa menghitung Sb1 (standard error of the slope)

dengan demikian nilai t statistik atau t hitung adalah :

Prosedur selanjutnya adalah menguji signifikansi t statistik ini.
- Kita tentukan Hopotesis Nol dan Hipotesis Alternatif
H0 : b = 0 (Variabel X tidak mempengaruhi Y)
H1 : b ≠ 0 (Variabel X mempengaruhi Y)
- Memilih level of significance yaitu α = 5% = 0,05
- Menentukan kriteria pengujian
H0 diterima apabila :-ttabel < thitung < ttabel
H0 ditolak apabila :thitung > ttabel atau thitung< -ttabel

Penentuan nilai t di tabel bisa dilihat di gambar berikut:

Dari uji hipotesis di atas kita dapat mengetahui bahwa nilai t hitung masuk di daerah menolak H0 sehingga kita bisa mengambil simpulan bahwa varibel X terbukti mempengaruhi variabel Y.
Nah, ini adalah cara manual, sebenarnya ada yang yang lebih praktis untuk menentukan signifikansi pengaruh X terhadapY, yaitu hanya dengan melihat nilai P-value. Jika nilai P-value ini kurang dari α (0,05) maka bisa disimpulkan bahwa X mempunyai pengaruh signifikan terhadap Y, seperti yang kita lihat pada output di atas, dimana nilai P-value adalah sebesar 0,01539 atau di bawah 0,05.
8 comments