Setelah proses kalkulasi berhasil maka output analisis sudah kita dapatkan. Output terdiri dari dua bagian utama yaitu output grafik dan output teks. Secara lengkap akan dijelaskan sebagai berikut:
· Output Grafik Unstandardized
Output ini sama persis dengan output analisis regresi berganda biasa, output ini digunakan untuk melakukan estimasi perubahan variabel endogen.
· Output Grafik Standardized
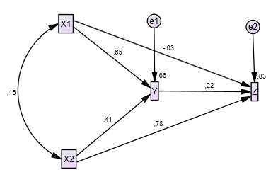
Output ini adalah output ringkasan dari koefisien jalur dan juga sama dengan koefisien regresi standardized pada regresi linier biasa.
· Output Teks
Output teks dapat dimunculkan melalui menu ViewàText Output atau dengan menekan tombol F10 di keyboard, bisa juga dengan menekan tombol “view text” di bagian kiri layar Amos.
atau

· Tampilan output teks adalah sebagai berikut
Intrepetasi Hasil
Hasil seluruh perhitungan Amos disampaikan dalam bentuk teks dan diringkas dalam bentuk grafik.
· Koefisien Jalur dan Uji Signifikansinya dapat dilihat di menu “Estimates” di kotak output teks.
· Tabel bagian atas adalah koefisien regresi unstandardized beserta uji signifikansinya dimana dalam tabel di atas semua pengaruh signifikan kecuali X1 terhadap Z.
· Tabel bagian bawah merupakan tabel koefisien regresi standardized atau koefisien jalur.
· Dalam bentuk grafik disajikan dalam kanvas seperti berikut
Pengaruh Langsung, Tidak Langsung, dan Total
Matrik pengaruh langsung, tidak langsung dan total disajikan dalam output teks bagian “Matrices”. Contoh dari output pada model di atas adalah sebagai berikut:







2 comments